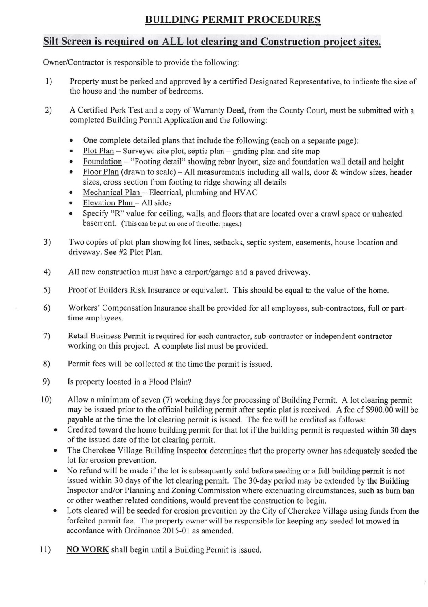
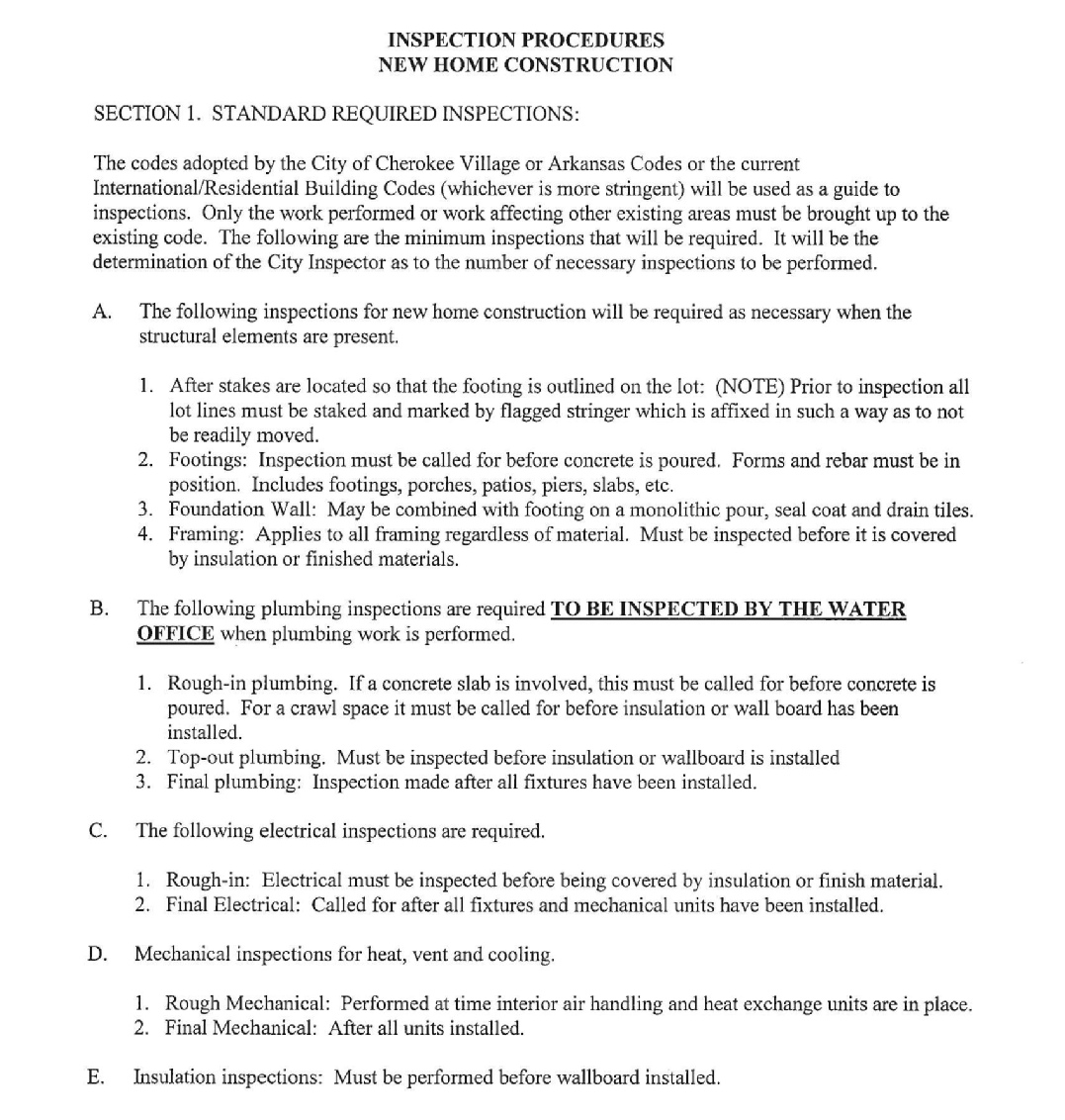
SAVE AND PRINT

ON YOUR COMPUTER

PLEASE

SAVE AND PRINT

ON YOUR COMPUTER

PLEASE

(870)257-5522








9

Monday-Friday 8am-4pm
CHEROKEE VILLAGE
ARKANSAS

|

|

cvclerk@cherokeevillage.gov

cityhall@cherokeevillage.gov

Mailing Address:

PO Box 129 | Cherokee Village, AR  72525



Cherokee Village, Arkansas | North Central Arkansas | The Ozarks

SITEMAP

© 2025 Cherokee Village, Arkansas (870)257-5522


Web Design by ARP (815)685-3469 | aradiop@gmail.com

HOME CONTRACTORS COUNCIL PACKETS MINUTES CALENDAR BILLS OF ASSURANCE ORDINANCES CITY COUNCIL RESOLUTIONS VIDEOS ALL DEPARTMENTS ABOUT US CONTACT US IMPORTANT PHONE #s
Cherokee Village Arkansas | Videos 1

Cherokee City Hall

2 Santee Dr.

Cherokee Village, AR  72529

Cherokee Village

Utility

Phone Numbers


1)  Cherokee Village Police

Department Non Emergency #

(870)257-5225

Emergency # 911


2)  Cherokee Village Fire Department Non Emergency #

(870)257-2304

Emergency # 911


3)  Cherokee Village Waterworks

(870)257-3508





5)  Electric-Fulton County

NAEC

(870)895-3221

www.naeci.com


4)  Electric-Sharp County

Entergy

(800)368-3749

www.entergy.com

Weather info for Cherokee Village
Celebrities from 
Cherokee Village
Arkansas
Check back for
our exclusive
interview with
Phillip Sweet
where he talks of
his time in
Cherokee
Village,
Arkansas.

Phillip Sweet (of Little Big Town) was raised in Cherokee Village, Arkansas in the Ozarks. He grew up in a musical family. His mother had a weekend country variety show and all of his brothers and sisters were involved in music in some way.


Phillip learned to play guitar and keyboards and wrote his first song when he was nine years old. When he was ten, he became a featured soloist in his church's touring musical group.